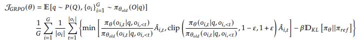
Group Relative Policy Optimization

Group Relative Policy Optimization(GRPO)起自deepseekmath,在deepseek-R1中也大放光彩。

看到复旦某组开源了一个简单的仅~200行的关于GRPO的项目simple_GRPO,故决定学习并写写。

GRPO是PPO的改进。

具体流程图:

流程看上去有点复杂,我们可以直接来看代码。

准备

源代码用100行代码实现了ref_server.py,用了分布并行运行reference model。

1
system_prompt = """You are a helpful assistant. A conversation between User and Assistant. The user asks a question, and the Assistant solves it. The Assistant first thinks about the reasoning process in the mind and then provides the user with the answer. ... """

奖励

  • 提取回答的正确性,匹配奖励为1,否则为-1。
1
2
3
4
5
6
7
8
def reward_correct(item, answer):
pattern = r'\d+\.\d+|\d+/\d+|\d+'
nums = re.findall(pattern, answer)
if len(nums) == 0: return -1.0
lastnum = nums[-1]
ans = parse(lastnum, extraction_config=[ExprExtractionConfig()])
ground_truth = parse(item["A"], extraction_config=[ExprExtractionConfig()])
return 1 if verify(ans, ground_truth) else -1
  • 如果回答符合指定格式,则奖励为 1.25,否则为 -1
1
2
3
def reward_format(item, answer):
pattern = r"^<think>.*?</think><answer>.*?</answer>$"
return 1.25 if re.match(pattern, answer, re.DOTALL | re.VERBOSE) else -1

loss 部分

1
2
3
4
5
6
7
8
9
10
11
12
13
14
15
16
17
18
19
20
21
22
23
24
25
26
27
def GRPO_step(batch):
prompt_length = batch['plen']
inputs = batch['inputs'].to(engine.device)
rewards = batch['rewards'].to(engine.device)

logits = engine(inputs).logits
logits = logits[:, :-1, :] # (B, L-1, V), exclude the last logit: it corresponds to the next token pred
input_ids = inputs[:, 1:] # (B, L-1), exclude the first input ID since we don't have logits for it

per_token_logps = get_per_token_logps(logits, input_ids)
per_token_logps = per_token_logps[:,prompt_length-1:]
ref_per_token_logps = batch['refs'].to(per_token_logps.device)

per_token_kl = torch.exp(ref_per_token_logps - per_token_logps) - (ref_per_token_logps - per_token_logps) - 1
completion_mask = (inputs[:, prompt_length:] != tokenizer.pad_token_id).int()

mean_grouped_rewards = rewards.view(-1, num_pre_Q).mean(dim=1)
std_grouped_rewards = rewards.view(-1, num_pre_Q).std(dim=1)
mean_grouped_rewards = mean_grouped_rewards.repeat_interleave(num_pre_Q, dim=0)
std_grouped_rewards = std_grouped_rewards.repeat_interleave(num_pre_Q, dim=0)
advantages = (rewards - mean_grouped_rewards) / (std_grouped_rewards + 1e-4)

per_token_loss = torch.exp(per_token_logps - per_token_logps.detach()) * advantages.unsqueeze(1)
per_token_loss = -(per_token_loss - beta * per_token_kl)
loss = ((per_token_loss * completion_mask).sum(dim=1) / completion_mask.sum(dim=1)).mean()
return loss

无偏小方差KL

这里使用的并不是传统的KL,而是使用了一个无偏小方差KL,即$KL=rlogr-(r-1)$

传统的KL:
$$
K L [ q, p ]=\sum_{x} q ( x ) \operatorname{log} \frac{q ( x )} {p ( x )}=E_{x \sim q} [ \operatorname{log} \frac{q ( x )} {p ( x )} ]
$$
如何构建一个好的估计?一个好的估计量是无偏的(它有正确的均值)并且具有低方差。

一个无偏估计量k1是$k1=log\frac{q(x)}{p(x)}=-log r$,但他有高方差,因为他对于因为它对于一半的样本是负的,而 KL 总是正的。

另一个低方差但存在偏差的估计量k2是$k2=\frac{1}{2}(log\frac{q(x)}{p(x)})^2=\frac{1}{2}(logr)^2$。

它的期望可以从f-divergence上考虑,其定义为凸函数f的$D_{f} ( p, q )=E_{x \sim q} [ f ( \frac{p ( x )} {q ( x )} ) ] $。


$$
D_{f} ( p_{0}, p_{\theta} )=\frac{f^{\prime\prime} ( 1 )} {2} \theta^{T} F \theta+O ( \theta^{3} )
$$
其中F是$p_\theta=p_0$处的Fisher information matrix。

$E_{q} [ k_{2} ]=E_{q} [ \frac{1} {2} ( \operatorname{log} r )^{2} ]$,而$\frac{1}{2}(log(x))^2$和传统KL对应的$-log(x)$具有相同的$f’’(1)=1$。

另一个无偏但方差低的KL散度就是$rlogr-(r-1)$。为了降低方差,我们可以在k1的基础上再加入一个期望为0但与k1负相关的量,而$r-1$正是这个量。

另外,@ingambe在这里尝试了把KL项去掉了,但也取得不错的效果。SimPO也删去了reference model,且取得了比DPO更好的结果。
这也给了我们一个反思:既然GRPO在PPO的基础上去除掉了value model,那reference model也是必要的吗?我们可以完全去掉它吗?

优势函数

由于GRPO比PPO少了value model,所以GRPO采用了一个更简单的方式来代替它的功能。
$\hat{A}_{i,t}=\frac{r_i-mean(\text{r})}{std(\text{r})}$
相当于用“多次模拟成绩平均值”代替价值函数。

实际上无clip

loss函数还有一个clip,用来约束新旧策略每次迭代之间不要偏移得太远。

但实际是代码实现上GRPO 的损失没有 clip,也直接假设ratio=1,( TRL 源码也是这样做的。)

对应代码中的 torch.exp(per_token_logps - per_token_logps.detach()),exp内恒为0,但有梯度,且$e^0=1$。

这是因为只update一次,如deepseekmath中所说。

“The policy model only has a single update following each exploration stage”——deepseekmath中4.2. Training and Evaluating DeepSeekMath-RL

所以old policy和new policy无变化。

参考资料

  1. github项目: simple_GRPO
  2. 《DeepSeekMath: Pushing the Limits of Mathematical Reasoning in Open Language Models》
  3. Approximating KL Divergence

Group Relative Policy Optimization
https://lijianxiong.space/2025/20250220/
作者
LJX
发布于
2025年2月20日
许可协议